AKKİSE VE AHIRLI TOKİ KURA SONUÇLARI AÇIKLANDI!

  AKKİSE VE AHIRLI TOKİ KURA SONUÇLARI AÇIKLANDI!

Ekl. Tarihi:

- Güncel. Tarihi:

Toplu Konut İdaresi Başkanlığı öncülüğünde hayata geçirilen Konya’nın Ahırlı İlçesi, Merkez ve Akkise mahallesinde yer alan TOKİ konutlarının kura sonuçları açıklandı.
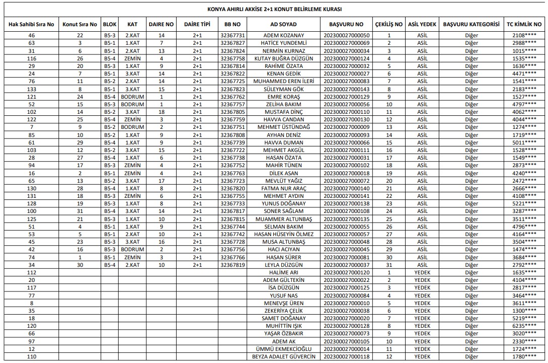
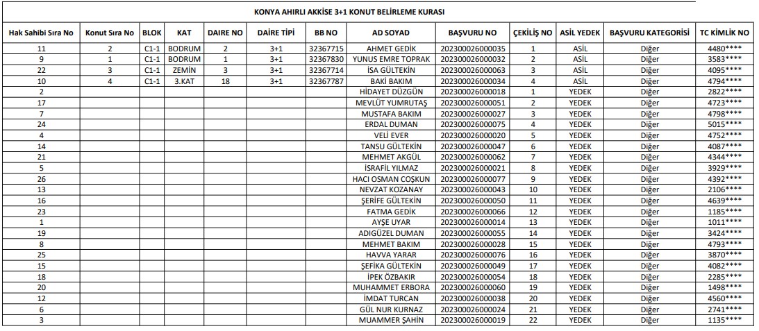
Akkise Toki Projesindeki  2+1 tip daireler brüt 76.35 ve 80.25 metrekare büyüklüğündedir. Ayrıca projedeki 3+1 tip dairelerin büyüklükleri ise brüt 110.63 ve 114.41 metrekare büyüklüğündedir. 2+1 tip dairelerin fiyatları 685.607,05 TL'den başlamaktadır. 3+1 tip dairelerin fiyatları ise 980.228,86 TL'den başlamaktadır.

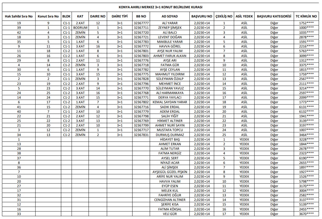
Merkez toki projesindeki 3+1 tip dairelerin büyüklükleri brüt 110.63 ve 114.41 metrekare büyüklüğünde olmakla birlikte ayrıca 3+1 tip dairelerin fiyatları ise 953.361,28 TL'den başlamaktadır.

Akkise ‘de 35 konut ve Merkez Mahallesinde 25 konutun detayları haberimizde…


KONYA AKKİSE (3+1) VE (2+1) KONUT BELİRLEME KURASI




KONYA AHIRLI MERKEZ 3+1 KONUT BELİRLEME KURASI


 

WHATSAPP HABER SİSTEMİMİZE YAZININ ÜZERİNE TIKLAYARAK KATILABİLİRSİNİZ




Haber:Fatma Çatlı 

Son dakika gelişmelerden anında haberdar olmak için WhatsApp haber grubumuza katılabilirsiniz. WhatsApp haber kanalımız için tıklayınız!

Yorum Yap

Önemli Not: Bu sayfalarda yayınlanan okur yorumları okuyucuların kendilerine ait görüşlerdir. Yazılan yorumlardan ilgihaber.com hiçbir şekilde sorumlu tutulamaz.
Bu habere henüz yorum yapılmadı. İlk yorumu siz yapın!
X
Yorum Yazma Sözleşmesi
“Sayfamızın takipçileri suç teşkil edecek, yasal olarak takip gerektirecek,hakaret ve küfür içeren, aşağılayıcı, küçük düşürücü, kaba, ahlaka aykırı, müstehcen, toplumca genel olarak kabul görmüş kurallara aykırı, kişilik haklarına zarar verici ya da benzeri niteliklerde hiçbir yorumu bu web sitesinin hiçbir sayfasında paylaşamazlar. Bu tür içeriklerden doğan her türlü mali, hukuki, cezai, idari sorumluluk yorumu gönderen takipçiye aittir. ilgihaber.com'a yapılan yorumlar arasından uygun görmediklerini herhangi bir gerekçe belirtmeksizin yayınlamama veya yayından kaldırma hakkına sahiptir. Konhaber başta yukarıda sayılan hususlar olmaz üzere kanun hükümlerine aykırılık gerekçesi ile her türlü adli makam tarafından başlatılan soruşturma kapsamında kendisinden Ceza Muhakemesi Kanunu’nun 332.maddesi doğrultusunda istenilen yorum yapan takipçilerine ait ip bilgilerini ve yapmış olduğu yorumları paylaşabileceğini beyan eder ”